《公主连结》忍扇技能属性介绍_公主连结
|
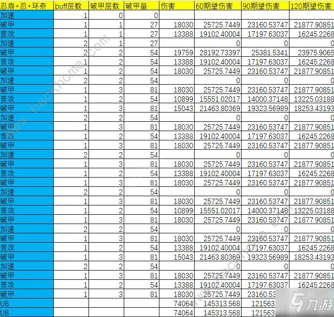
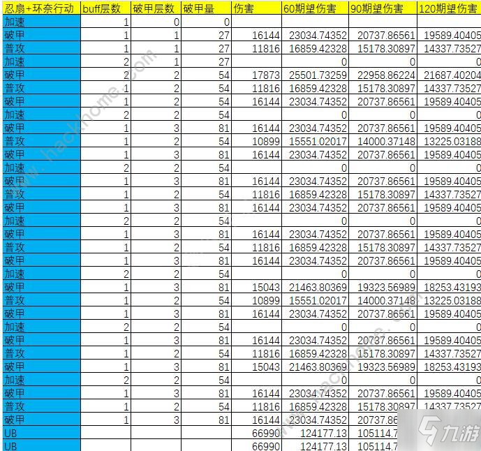
公主连结忍扇这个角色怎么样,不少玩家都在询问,那么详细技能属性如何,大家值得入手吗,下面为大家介绍公主连结忍扇技能属性详解。 公主连结忍扇技能属性详解 下面是自身循环和技能 扇子的循环挺特别的。 四动循环有一个加速,两个破甲,一个普攻。除了普攻之外,所有技能的等待时间都非常低。所以即使她的技能是双倍加速,其实提升也很有限。。。(说实话,感觉有点糊弄人的意思,给你一个特别高的加速数值(100%),却给你一个非常低的待机时间可以获得加速收益) 忍扇技能时间 换句话讲,如果带环奈,即使会覆盖掉一部分自身高加速,也并不会亏很多伤害。测试下来,只会少掉最后一个没伤害的加速技能。但是,具体到实战中,涉及boss技能节奏以及满破点的变化,带环奈或其他加速卡还是会有一些影响的。 此时up妄图给忍扇当主C用。忍扇是很吃暴击属性加成的,再给他配个忍, 可以看到,在忍和环奈的双buff下,三个双buff UB,对应60级boss,总输出期望为96万。四个UB可以提升到110万。 对应90级boss,总输出期望为84W。四个UB可以提升到96W。 对应120级boss,总输出期望为78W。四个UB可以提升到89W。 这个输出水平,可以说还行吧,肯定打不过病娇,但是勉强可以看。 当前环境,AB面加起来两天都撑不到,所以忍扇的发挥空间属实有限。抽到以后可能还要母,抽取的话务必保证自己钻石和母猪石都充足。 作为常驻卡,这里也对比了插班生碧的定位,还是挺大区别的。 忍扇相当于一个低周目特化输出卡,兼顾少量破甲(破甲量在专武后会增大不少,但是到时候也可以拼出来了,不是本次一定抽的理由) 插班生碧则是一个后排站位特化的破甲卡,兼顾输出。小技能破甲90多(系数0.7),几乎赶上狼吼(系数0.8),UB能破甲130多(系数1),比狼UB的系数还高(系数0.9)。 不过她的tp率比不上狼,受到boss攻击充能的机会也比狼少,所以一般只有前排被针对的时候才有上场空间,比如狼活不下来,水狼遇到多目标boss,前排被疯狂控制或者抽tp等。 最后闲聊一下抽取倾向 忍扇这张卡可以说是未来爆伤属性的前置,是跟下期的小仓唯专武冰锥一起实装的,暴击伤害提升的新能力。这个角色的核心能力也正是这个,虽然输出能力还比不上t0卡,但是由于给她额外附带了高频破甲技能,在低阶段的时候变得特别有用。 所以忍扇和插班生的抽卡定位是类似的,都是仅部分环境可用,又不是不可代替,未来又可以拼。 up可能会选择放弃忍扇,等限定连发结束后看钻石量再考虑插班生抽不抽。 |


