word是办公室人员经常会用到的软件,那在输入数学公式的时候,会经常需要用到上标和下标。那要怎么在word中输入上标和下标呢?这里就让小编来教教大家怎么在win7纯净版系统下在word中输入上标和下标吧。

  第一种方法:使用快捷方式输入上标、下标

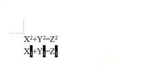
  1、首先,选中想要设为上标的字符;

Win7纯净版系统下Word输入上标和下标怎么操作?

  2、然后,在按Ctrl+Shift+加号即可将选中的字符设置为上标;

Win7纯净版系统下Word输入上标和下标怎么操作?

  3、在选中想要设为下标的字符,最后再按Ctrl+加号即可将选中的字符设置为下标。

Win7纯净版系统下Word输入上标和下标怎么操作?

  第二种方法:通过格式设置变为上标、下标

  1、首先,选中需要设为上下标的字符,在点击格式,在点击字体;

Win7纯净版系统下Word输入上标和下标怎么操作?

  2、然后,在弹出的界面中勾选上标或下标,最后再点击确定即可。

Win7纯净版系统下Word输入上标和下标怎么操作?

  上述给大家介绍的便是win7纯净版系统下word输入上标和下标的全部内容,有需要的用户们可以按照上面的方法步骤来进行操作吧。