《原神》飞雷之弦振与天空之翼伤害对比_原神
|
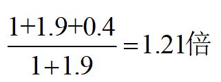
《原神》中飞雷之弦振与天空之翼是目前两把最强的弓,那么对于公子和宵宫这类角色来说这两把弓的伤害如何呢?现在为大家带来“68707469”分享的《原神》飞雷之弦振与天空之翼伤害对比,希望对大家有所帮助。 结论 飞雷之弦振(下文简称飞雷)对于公子(霄宫类似)来说,如果仅打普攻,伤害和满精弓藏差不多,相同双暴面板情况下,如果仅用技能,伤害持平天空之翼,总的来说,飞雷相当于融合了弓藏与天空之翼的长处,秒伤期望(下文简称DPS)能提高约10%~20% 飞雷与天空 理论 不触发普攻特效 这部分就是看武器面板的设计,飞雷的面板设计与护摩一样,可以说是几乎完美的白值与副词条(仅次于面板怪物绿剑)了,一向靠面板吃饭的天空之翼在这个单面板里甚至有些吃亏,为了让这个结论更具有说服力,我们上数据,来看两者面板对比: 在低精炼的情况下天空之翼比飞雷要高66的基础攻击,而飞雷要比天空之翼多出2%的双暴收益以及20的攻击力加成,我们略去双暴收益的差距,但看这66的白字与20%攻击力加成,以90级公子为例公子带飞雷基础攻击为910,带天空基础攻击为976,若要使二者加成相同,则计算式如下 带天空的白字高的公子至少需要276%的可怖的攻击力加成才能持平这20%攻击的差距,精炼程度越高差距越大。不过由于公子一般带攻击沙漏,并且在万达国际队班尼特的加持下,这部分面板的差距几乎没有,从下面的实战我们也可以看出,差距很小。 触发普攻特效 我们先看飞雷特效 而天空的特效没有增伤乘区的加成, 我们取满特效飞雷,二水二角斗公子,计算普攻伤害差距,相同面板时: 飞雷伤害为天空的 实战 飞雷面板攻暴:2200 70 210 天空面板攻暴:2150 72 205 大招 (理论上基本没有差距,此部分差距为面板差距): 可以看到基本没有差距 普攻 可以看到大约为25.3%的差距,与计算的1.21倍差距3%,由于面板问题,实际差距应在3%以内,为实验允许误差。 飞雷与满精弓藏 理论 由于弓藏本身的面板问题,主要看面板的技能伤害,会与飞雷差很多,所以这部分我们不看技能,只看两者触发特效后普攻的期望对比,下图为弓藏特效,比一精炼的飞雷要多40%的增伤乘区系数 但是由于面板问题,会比飞雷少66的暴伤,暴伤区间的稀释比增伤区间略多,所以二者伤害基本持平。我们来看实战 实战 弓藏面板攻暴:2284 76 124 天空面板攻暴:2327 76 190 普攻 可以看到差距很小 大招 差距为30% 总结 天空与飞雷差距为增伤乘区的差距,会被各种增伤拐稀释(莫娜、万叶、追忆),而弓藏与飞雷为暴伤乘区的差距,后者无法降低差距,反而会随着练度提高差距增大(因为原神目前无暴伤拐,不过如果出现暴伤拐,那么弓藏这一类增伤乘区的武器将起飞) 抽取建议 有天空,不建议抽取,放在高练度队伍里差距会缩小,而公子如果打重击的话基本无差距,没有的建议抽一把,仅面板就是目前最强弓箭。 |








