在Word文档中绝对值符号怎么打?Word文档打开绝对值符号的方法
|
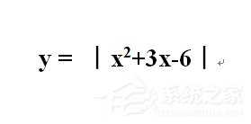
相信有很多用户在使用Word办公软件编辑文档的时候,难免会碰到输入数学公式的情况,如果能够正确的输入数学公式,那么可以更加直观的体现公式的含义。下面小编就为大家带来在Word文档中输入绝对值符号的方法,有需要的用户可不要错过。 Word文档打开绝对值符号的方法 1、首先,求下列等式中x的值,这里需要给右边等式加上一个绝对值符号。 2、接着,选择“插入”菜单下的“符号”按钮,单击“其他符号”选项。 3、然后,将【子集】选择到“CJK兼容模式”,如图所示。 4、接着,将【字体】选择为“普通文本”,如图所示。 5、设置完成后,我们就可以看到如图所示的“绝对值符号”了。 6、接着,用鼠标将光标调整至需要插入绝对值符号的地方,点击“插入”即可,如图所示。 7、通过上面的编辑,word文档中的绝对值符号就打出来了。 在符号列表中,有很多平时比较少用到的符号,但是如果不知道这些符号在哪,在需要使用的时候就显得无从下手了。到此关于绝对值符号怎么打的教程就写到这,希望对你有所帮助。 |






